Objectif De La Conception D Un Projet

La phase de cadrage a déterminé les grands principes les objectifs clés l.
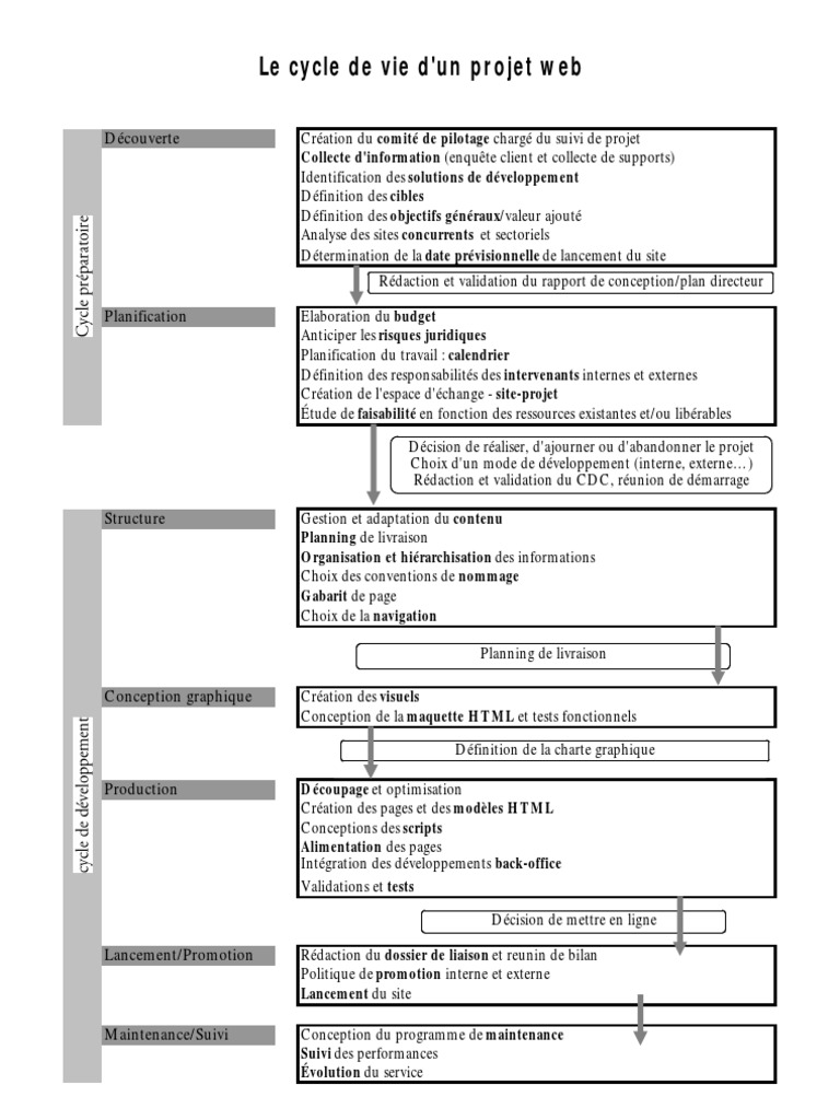
Objectif de la conception d un projet. Public cible toute personne impliquée dans un projet ou souhaitant lancer un nouveau projet ferroviaire qu il s agisse d une création ou d une extension de. C est pourquoi un prototype dynamique est indispensable. Initiation aux bases théoriques pédagogiques et techniques de l enseignement et de l apprentissage à distance et de l intégration des tic dans l enseignement et l apprentissage. Située entre la définition initiale et la conduite à proprement parler des opérations l étape de conception tient une place centrale au propre comme au figuré dans la démarche en effet sa finalité est la préparation et l organisation de la mise en oeuvre des éléments précédemment définis.
Ce wiki a été archivé en 2018. L interface design sprint tester c est s assurer de la viabilité d un projet avant de le développer et le mettre sur le marché. Le principal outil de l identification et de la conception d un programme projet utilisée dans le cours est l approche du cadre logique acl mais le cours met aussi l acl en perspective avec d autres approches comme les théories de changement qui alimentent l acl elle même. Le nouveau wiki se trouve à.
C est bien tout le principe de l interface design sprint. Objectifs spécifiques a la fin de la session les participants seront capables de. La conception d un projet numérique. Maîtriser à partir d exemples concrets toutes les étapes et les caractéristiques d un projet d infrastructure ferroviaire de la conception à la réalisation.
La conception d un projet. Comprendre le s stratégies d intervention s recommandées au regard des. L objectif de la phase de la conception consiste à mettre sur pied l équipe responsable de la conception à élaborer la conception afin de respecter les objectifs et les exigences du projet et à produire les documents d approbation nécessaires pour l approbation définitive du projet. Ce module intègre la conception d un projet professionnel du participant.